乐天使体育官网
学校主页
怀念旧版
English
首页
乐天使官网
学院简介
历史沿革
现任领导
历任领导
机构设置
党政机构
教学机构
科研机构
师资队伍
院士
人才
教授
副教授 高工
讲师 实验师 工程师
助理实验师 研究员
退休教职工
本科教学
专业设置
本科生全程导师制
教学教改成果
专业认证
研究生教育
专业设置
通知公告
制度规定
下载专区
科学研究
科研项目
科研奖励
发明专利
专著教材
下载专区
党团工作
党建工作
团学工作
工会工作
党团建设中心
学生工作
学工风采
就业创业
奖助勤贷
心理健康
思想教育
合作交流
国际合作
本科生交流
研究生交流
学术交流
English
About us
Faculty
Academy
首页
通知公告
当前位置:
首页
>>
通知公告
>> 正文
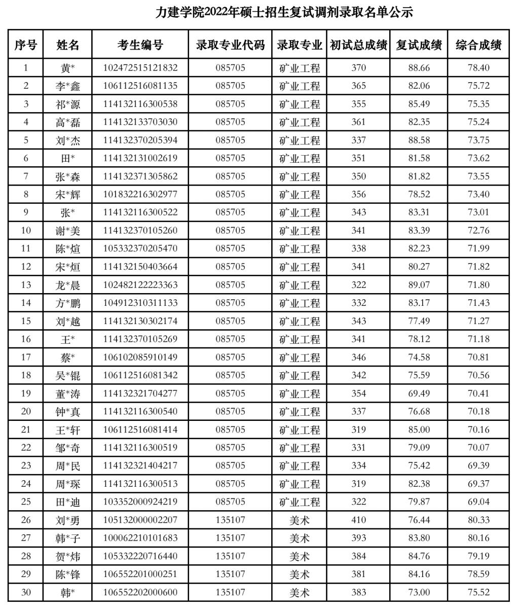
力建学院2022年硕士招生复试调剂录取名单公示
发布时间:2022-04-11 作者: 来源: 点击数:
上一条:
力建学院关于做好“互联网+”大赛和“京彩大创”大赛参赛工作的通知
下一条:
力建学院2022年硕士招生调剂复试名单